Skip to content
0234/254.152|primaria@comunafaraoani.ro
  • Cultura Locala
  • Turism
  • Scoala
  • Info Alegeri
  • Inchirieri online
  • Hărți interactive
Primaria Faraoani Logo
  • DESPRE INSTITUȚIE
    • Legislație
    • Conducere
      • Primar
        • Atribuții Primar
        • Dispoziții
        • Rapoarte de activitate
        • Declarații de avere și interese Primar
      • Viceprimar
        • Atribuții Viceprimar
        • Rapoarte de activitate
        • Declarații de avere și interese Viceprimar
      • Secretar
        • Atribuții Secretar
        • Declarații de avere și interese Secretar
    • CONSILIUL LOCAL
      • Hotarari
        • Proiecte de hotarari
        • Convocatoare sedinta
        • Procese verbale
        • Sedinte de consiliu
        • Minuta sedinta
      • Componența Consiliului local
      • Regulament de ordine si functionare al Consiliului Local
      • Declarații de avere și interese membrii Consiliul Local
      • Rapoarte de activitate Consilieri Locali
      • Rapoarte de activitate ale comisiilor
    • Agenda conducerii conform standardelor RUTI
    • Organizare
      • Regulament de organizare și funcționare
      • Organigrama
      • Compartimente
        • Compartiment Financiar – Contabil
        • Compartimentul Urbanism
        • Compartimentul Stare Civila
        • Compartimentul Achiziții Publice
        • Compartimentul Asistență Socială
        • Compartimentul Registrul Agricol
        • Compartiment SVSU
      • Lista și datele de contact ale instituțiilor care funcționarea în subordinea / coordonarea sau sub autoritatea instituției în cauza
      • Guvernanța corporativă a întreprinderilor publice
      • Cariera
        • Anunțurile posturilor scoase la concurs
        • Rezultate concursuri
    • Programe si strategii
    • Rapoarte si studii
      • Rapoarte
      • Studii
  • INFORMAȚII DE INTERES PUBLIC
    • Solicitarea informațiilor de interes public
      • Numele și prenumele persoanei responsabile pentru Legea 544/2001
      • Formular de solicitare în baza Legii 544/2001 cu modificările și completările ulterioare
      • Modalitatea de contestare a deciziei și formularele aferente pentru reclamație administrativa 2001
      • Lista cu documentele de interes public
      • Rapoarte de aplicare a legii 544/2001
    • Buletinul Informativ al informațiilor de interes public
    • Buget din toate sursele de venituri
      • Bugetul din toate sursele de finanțare și bugetul structurilor aflate sub autoritatea
      • Situația plaților
      • Situația drepturilor salariale stabilite potrivit legii
      • Situația anuală a finanțărilor nerambursabile acordate persoanelor fizice sau juridice fără scop lucrativ
    • Bilanțuri Contabile
    • Achiziții publice
      • Programul anual al achizițiilor publice
      • Centralizatorul achizițiilor publice
      • Contractele de achiziții publice cu valoarea de peste 5.000 euro
      • Documentele privind execuția contractelor
    • Formulare-tip
    • Declarații de avere și de interese ale personalului autorității/instituției publice
    • Comisia paritară – actul administrativ de constituire a comisiei paritare și modificările intervenite
    • Protecția datelor cu caracter personal
  • TRANSPARENȚĂ DECIZIONALĂ
    • Proiecte de acte normative
      • Proiecte de acte normative aflate în consultare publică
      • Proiecte de acte normative pentru care nu mai pot fi trimise sugestii
      • Proiecte de acte normative adoptate
    • Formular pentru colectarea de propuneri/opinii/ recomandări
    • Registre
      • Registru pentru consemnarea și analizarea propunerilor, opiniilor sau recomandărilor primite
      • Registrul asociațiilor, fundațiilor și federațiilor luate în evidență de autoritatea/instituția publică
    • Dezbateri publice
    • Rapoartele de aplicare a Legii nr. 52/2003, republicată
    • Numele și prenumele persoanei desemnate responsabilă pentru relația cu societatea civilă și datele de contact ale acesteia
  • CONTACT
    • Datele de contact ale autorității/instituției publice
    • Relații cu presa
    • Programul de funcționare al autorității/instituției publice
    • Program de audiențe
  • INTEGRITATE INSTITUȚIONALĂ
    • Cod etic/deontologic/de conduită
    • Lista cuprinzând cadourile primite
    • Mecanismul de raportare a încălcărilor legii
    • Declarația privind asumarea unei agende de integritate organizațională
    • Planul de integritate al instituției
    • Un raport narativ referitor la stadiul implementării măsurilor atât prevăzute în SNA
    • Situația incidentelor de integritate
    • Studii/Cercetări/Ghiduri/Materiale informative relevante
  • MONITORUL OFICIAL LOCAL

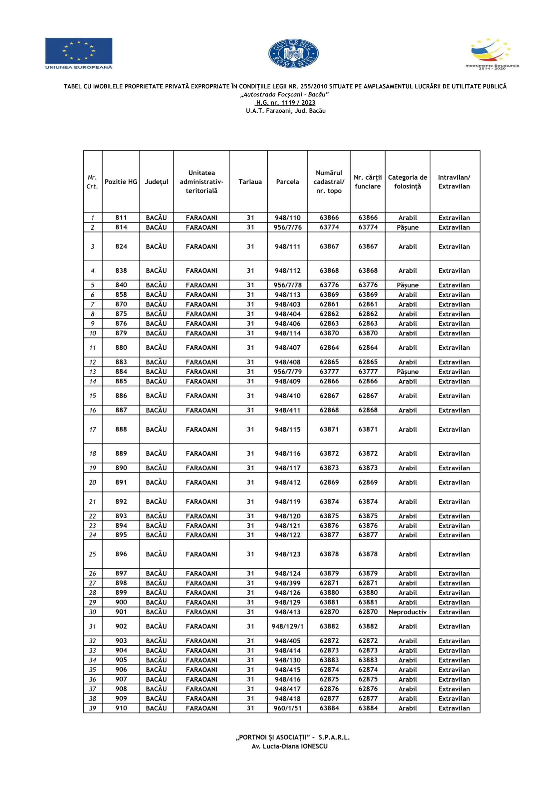
ANUNȚ IMPORTANT – EXPROPRIERI A7

ANUNȚ IMPORTANT – EXPROPRIERI A7

By primaria|2026-03-19T10:33:22+03:0006.03.2026|Știri|Comentariile sunt închise pentru ANUNȚ IMPORTANT – EXPROPRIERI A7

Share This Story, Choose Your Platform!

FacebookXRedditLinkedInWhatsAppTumblrPinterestVkE-mail:

Articole asemanatoare

SVSU – Măsuri de prevenire a incendiilor de vegetație uscată, stuf, miriști și tufărișuri

SVSU – Măsuri de prevenire a incendiilor de vegetație uscată, stuf, miriști și tufărișuri

10.03.2026
ANUNȚ IMPORTANT –  Obligația persoanelor fizice și juridice de a declara datele necesare înscrierii și/sau modificării în Registrul Agricol

ANUNȚ IMPORTANT – Obligația persoanelor fizice și juridice de a declara datele necesare înscrierii și/sau modificării în Registrul Agricol

16.01.2026

PRIMĂRIA FARAOANI

Adresa:
județul Bacău
Tel. 0234 254 152
Fax. 0234 254010
primaria@comunafaraoani.ro

Cookies
Politica de confidentialitate

© Copyright | Powered by TNT Computers & City Manager | Toate drepturile rezervate
Facebook
Page load link

Acest site foloseşte cookies. Navigând în continuare vă exprimaţi acordul asupra folosirii cookie-urilor. Detalii

The cookie settings on this website are set to "allow cookies" to give you the best browsing experience possible. If you continue to use this website without changing your cookie settings or you click "Accept" below then you are consenting to this.

Close

Go to Top